1 引言
新能源汽车在推广过程中,面临续驶里程短、充电难、充电慢的问题,通过加大电流及提升系统电压的方式提升充电效率,大电流会造成部件热损失高,因此通过提高系统电压成为提高效率的主流选择。而电驱系统作为新能源汽车的核心部件,是体现汽车产品性能与核心竞争力的关键,当前国内外品牌如:大众、宝马、奔驰、比亚迪、吉利、长城等在高压平台方面都有所布局,基于高压平台的800 V 电驱系统也成为行业重点研究的关键技术。
本文主要从行业研究背景、用户开发驱动力、关键核心技术方面总结了800 V电驱系统的发展趋势和技术难点,从材料、工艺方面给出了高局部放电起始电压(Partial Discharge Inception Voltage,PDIV)、耐电晕电磁线的绝缘方案,并总结电磁干扰、抑制轴承电流腐蚀的技术方案,旨在提升本行业对于800 V 高压电驱动平台技术的认知水平。
2 800 V高压电驱技术发展趋势
2019 年9 月4 日,保时捷发布首款纯电动跑车—全新Tayca。其中,首批发布的车型版本为全新Taycan Turbo S 和全新Taycan Turbo,这2 款车型均为“保时捷E 驱高效动力”(Porsche E-Performance),代表保时捷纯电动量产车Taycan 系列的最高性能。目前,常见的电动车系统电压为400 V,全新保时捷Taycan 是第一款系统电压达到800 V的量产车型。该车型采用双电机四轮驱动配置(表1),其搭载了源自勒芒冠军赛车919 Hybrid 的800 V 技术配合双永磁同步电机与后轴两速变速器,兼顾性能与续驶里程双优的需求。800 V 三电系统电耗低,内置升压器,提高持续输出功率,增大充电功率,缩短充电时间,降低系统质量,前后驱动双电机均采用交流永磁同步电机,采用HairPin发卡式绕组工艺,槽满率高达70%,局部采用激光焊接。保时捷宣布Taycan 可以支持连续10 次以上的弹射起步,且不会出现转矩输出降额,其电机热性能设计能力较好。

表1 保时捷Taycan电驱动系统技术指标
2020年12月2日,现代汽车集团全球首发了全新电动汽车专用模块化平台E-GMP(Electric-Global Modular Platform,E-GMP)。平台采用800 V 电压电气架构,双向充电,充电功率可达350 kW,18 min内即可充电80%,充电5 min 可行驶100 km。现代汽车表示,其集成充电控制装置(Integrated Charge Control Unit,ICCU)是全球首个通过电机和逆变器将400 V 提升到800 V,实现以400 V 快速充电桩为800 V 电池稳定充电的专利技术。2021 年,采埃孚、比亚迪、吉利、北汽、长安、广汽、东风、小鹏等相继跟进发布800 V 高压平台架构,车型有望在2022 年陆续启动量产。800 V高压电驱动系统即将迎来爆发式增长。
3 800 V高压电驱动系统需求分析
根据汽车之家调研数据,消费者不购买新能源汽车的前10 原因(TOP10)如图1 所示[1]。消费者对保障续驶里程和充电便利性的关注度最高,续驶里程和充电是电动汽车应用的2大痛点。
图1 新能源车辆使用问题汇总[1]能源与交通创新中心(iCET)发布的《纯电动汽车消费者调查报告》[1]显示,超过50%的消费者希望续驶里程越高越好,38.9%的消费者认为实际驾驶工况下400~500 km 的续驶里程可以满足日常需求,不必一味追求高续驶里程,对BEV 而言,典型的电量装载值约为100 kW·h,如图2所示。
图2 消费者期望的续驶里程数据调查[1]随着电动汽车的普及,用户对电动汽车的接受度和认可度逐步上升,对电动汽车的要求也逐步提高。用户的主要诉求是充电快速便捷,像传统汽车加油一样,能够很快找到充电设备并在15 min 之内完成快速充电。
在高压电气架构平台下,功率不变前提下,续驶里程将增加、充电速度提升,电驱动系统也更易于实现高功率和大转矩输出,工况运行效率更高。在当前消费者的主要诉求边界下,最合适的电压等级是800 V,如图3 所示。
图3 高压电气架构的优势及其电压平台的选择4 800 V电驱系统关键技术
常规汽车电驱动系统的标称供电电压等级为400 V,由400 V 提高到800 V 后,将面临以下技术问题:
(1)800 V 高压电驱动系统工作时过电压峰值高,常规电子元器件、机械零部件、基础绝缘材料及其结构工艺无法适应显著提高的电应力危害;
(2)800 V 高压电驱动系统输出动力性、经济性、电磁兼容性难以平衡兼顾,如何通过技术创新实现多维度、多学科、多领域的整体协同最优化;
(3)行业内绝大多数车企仍采用400 V高压平台,短期内我国很多地区的充电接口和充电桩不会快速换代,800 V电驱动系统如何兼容现有主流的400 V中压平台快充基础设施是新能源汽车行业发展中需要解决的重要问题之一。
有必要针对800 V 高压系统汽车电驱动场景,聚焦高可靠、高性能、高适应、高安全技术方向,深入研究高耐压功率电子元器件选型、新型绝缘材料与工艺开发、高速轴承电腐蚀抑制、车规SiC 功率器件应用、Boost 调压升压器开发、高频电磁干扰抑制、驱动充电一体化集成、升压充电零转矩控制、电容式电荷泵升压器等系列核心技术(图4)。
图4 800 V高压电驱动系统关键技术研发路径4.1 高耐压功率电子元器件选型
电驱动系统的标称母线电压由400 V 提高到800 V后,电机控制器内部控制单元电路基本不变,而功率变换单元电路的各部分元器件及其印制电路板(Printed Circuit Board,PCB)的设计将完全不同。主要的元器件选型设计变化点见表2。

表2 400 V切换到800 V系统时功率电子元器件耐压升级[2]
4.2 新型绝缘材料与工艺
由逆变器驱动的电机称为变频电机。变频交流电机通过逆变器完成输出电压幅值、频率的调制,逆变器按脉宽调制(Pulse Width Modulation,PWM)的方式完成。PWM 调制驱动时,逆变器输出波形为不同脉宽的方波,对电压进行调制使得电机绕组内通过的电流近似正弦电流。PWM 调制驱动一般采用绝缘栅极双极型晶体管(Insulated Gate Bipolar Transistor,IGBT)或金属-氧化物半导体场效应晶体管(Metal-Oxide-Semiconductor Field-Effect Transistor,MOSFET)功率器件,开关时间≤50 ns,PWM 输出电压方波的上升时间非常短(0.2~0.4 μs),电压变化速率可达10 kV/μs,施加到电机绕组时会产生不均匀的匝间电压分布,同时会在电机端部产生电压行波的折射和反射现象,尖峰反射电压叠加在高压方波脉冲上,进一步导致电机端过电压冲击的出现。电机端电压波形中存在尖峰,其峰值可达母线电压的1.5~2倍,高电压导致的高电场会导致局部放电(Partial Discharge,PD)的数量增加,最终导致击穿。
相比传统工频正弦供电交流电机,工作在高频陡上升沿方波电压下的变频电机面临的电机绝缘问题更加复杂苛刻。一方面,高压方波脉冲对定子绕组绝缘施加更高幅值的电压冲击;另一方面,脉冲频率高达10 kHz,高频作用加剧了介质损耗、局部放电、空间电荷对绝缘的老化作用。匝间绝缘是变频电机绝缘系统的最薄弱环节。采用逆变器变频驱动后,绕组匝间电压可达工频交流电源驱动的10倍以上[3-5]。
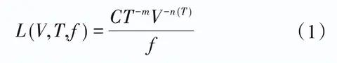
在高频高压方波脉冲电压下,绝缘材料寿命预测的老化模型的研究还不成熟。Guastavino[6]对绞线进行寿命模型试验,建立的电压-频率-热多因子联合老化寿命模型为,见式(1)。

式中,L(V,T,f)为绝缘材料寿命;V为电压;f为频率;n为温度T的函数;C,m为与材料和试验条件相关的系数[6]。
从式(1)可见,绝缘寿命与施加的PWM 电压脉冲幅值、PWM载波频率、环境温度成反比例关系。
PWM 波形参数对局部放电特征参量的影响可以总结为表3。

表3 PWM波形参数对局部放电特征参量的影响[7-9]
高压高频方波脉冲下绝缘老化失效的过程可以分有、无局部放电2种情况分析。绝缘老化机理如图5。
图5 高压高频脉冲电压下绝缘快速失效机理[7]在800 V 电驱动系统中,为了抵抗不可避免的高频PWM 脉冲对绝缘的破坏作用,必须在绝缘材料工艺、结构设计、滤波设计、系统集成等方面开展关键技术攻关。
4.2.1 绝缘材料的改进
必须寻找新型耐局部放电材料,目前存在2 种技术路线:高PDIV 电磁线,耐电晕电磁线。当前业内主流的2种先进电磁线技术路线对比见表4。

表4 2种耐局部放电电磁线技术路线[10-11]
4.2.2 绝缘结构和工艺的改进
绝缘结构的改进主要通过提高绝缘系统的PDIV水平、耐电晕水平、避免机械损伤(磨损、杂质、气泡、弯折等),进而提高绝缘的可靠性。难点在于提高绝缘性能的同时保持较高的槽满率。供电电压提高到800 V 后,电气间隙和爬电距离等绝缘配合的设计也要随之调整加强[12-13]。
4.2.3 阻抗匹配与谐波抑制
常规应用情况下,电机端过电压幅值与电机端和逆变器端的反射系数、PWM 脉冲上升时间、高压连接电缆长度成正比。随着电机和逆变器之间母排长度的增加,过电压幅值增大,振荡频率减小,当母排长度增加到某一长度时,过电压幅值大约为2 倍方波脉冲电压,为抑制谐波,应尽量缩短高压母排长度。为消除电机端电压反射,可采用无源滤波技术,使得电机和逆变器之间的电缆和电机的特征阻抗匹配。有3种阻抗匹配方法:电机输入端端增加一阶电阻-电容电路(Resistor-Capacitance circuit,RC)滤波;逆变器输出端增加电抗器(降dv/dt);改变电缆特性参数以降低电机端电压的振荡频率。为了抑制过电压也可以在逆变器输出端设置低通滤波器,降低输出脉冲电压的dv/dt,进而减少电机终端过电压的幅值和高频响应。
4.3 高速轴承电腐蚀抑制
现代PWM 变频供电的电压源逆变器输出只有高、低电平2 种状态。只有2 个输出状态时,不可能产生完全对称的三相波形,因此会发生不平衡,在电机绕组和壳体地之间产生非常大的共模电压,同时电压幅值dv/dt快速变化。这些因素通过多种路径耦合导致新增多种形式的轴承电流,造成轴承电腐蚀。
4.3.1 容性轴承电流
由共模电压分压导致的轴承电压引起,相比其他轴电流很小。
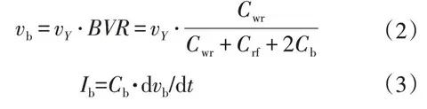
电机高频等效电路如图6所示,其中:
图6 电机高频等效电路Cwf为高压定子绕组与地电位定子铁芯之间的电容,每相值;
Cwr为转子表面与定子绕组之间,所有三相并联的一个电容;
Crf为转子表面与定子铁芯表面齿顶气隙之间的电容;
Cb为轴承油膜的电容;
vb为轴承电压,定义为轴承内外圈之间的电位差;
vY为电机绕组中性点对地电压,也是共模电压(三相电压的算术平均值)。
轴承电压计算公式如式(2),容性轴承电流计算公式如式(3):

式中,vb为轴承电压;vY为共模电压;BVR为轴承对地电压和电机共模电压的比值;Cwr为三相并联电容;Crf为转子与定子间电容;Cb为轴承油膜的电容;Ib为容性轴承电流;dvb/dt为轴承电压对时间的变化率。
4.3.2 静电放电电流
共模源通过电容分压器给轴承充电,当超过门槛电压时会导致一个放电电流脉冲。
4.3.3 环流轴承电流
较高的相电压变化率dv/dt产生一个相当大的高频电流,感生环形磁通,进而诱导产生一个高频转轴电压,进而引起环流轴承电流[14-15]。
根据轴承电流的产生机理,轴承对地电压和电机共模电压的比值定义为BVR。电压平台由400 V 提高到800 V 后,共模电压大幅提高,轴电流增大,轴承电腐蚀问题将更加突出。抑制轴电流的方法多种多样,每种单独的解决方法都各有利弊,单独依靠某一个方法来根除轴承电腐蚀问题都存在局限性。可靠有效的解决方案是“消减、疏通、阻堵”相结合,综合治理(图7)。
图7 轴承电流抑制技术4.4 车规级碳化硅(SiC)功率器件应用
硅(Si)材料功率器件中越是高耐压器件,单位面积的导通电阻也越大(以耐压值的约2~2.5 次方的比例增加),因此600 V 以上的电压中主要采用IGBT 等少数载流子器件(双极型器件)。Si IGBT 通过电导率调制,向漂移层内注入作为少数载流子的空穴,因此导通电阻比Si MOSFET 还要小,但是同时由于少数载流子的积聚,在Turn-off时会产生尾电流,从而造成极大的开关损耗,由此产生的发热会限制IGBT 的高频驱动。
当电驱动系统的供电电压等级提高到800 V后,需要随之提高逆变器中使用的功率器件的耐压到1 200 V。在这个电压等级下,SiC MOSFET 相比Si MOSFET 相比SiIGBT更具综合技术优势,见表5。

表5 主流半导体材料的物理特性[16-17]
基于SiC 的固有材料特性,SiC MOSFET 具有高耐压、低导通电阻、耐高频、耐高温4大特性优势。
(4)分带指数法对矿体原生晕轴向分带序列为As-Ag-Ba-Zn-Mn-Hg-Cu-W-Pb-Mo-Au-Sb-Co-Bi-Ni。Sb等典型前缘晕元素出现在分带序列的中下部,典型的后尾晕元素Mo出现在中部,则指示深部还有盲矿存在或第二个富集带。
(1)SiC材料的绝缘击穿场强是Si的10倍,因此与Si 器件相比,能够以具有更高杂质浓度和更薄厚度的漂移层实现600 V以上的高耐压功率器件(图8)。
图8 Si基功率器件与SiC功率耐压对比[18-19](2)高耐压功率器件的阻抗主要由漂移层的阻抗组成,在相同的耐压值情况下,SiC 可以得到标准化导通电阻(单位面积导通电阻)更低的器件。理论上,相同耐压的器件,SiC 的单位面积的漂移层阻抗可以降低到Si 的1/300。因此,不需要进行电导率调制,没有必要再采用IGBT 这种双极型器件结构(导通电阻变低,则开关速度变慢),就可以高频器件结构的多数载流子器件(MOSFET)实现低导通电阻、高耐压、高频快速开关等各优点兼备的器件。SiC-MOSFET 与IGBT不同,不存在开启电压,所以从小电流到大电流的宽电流范围内都能够实现低导通损耗,见图9。而且MOSFET原理上属于单极器件,不产生拖尾电流,能够明显地减少开关损耗,并且实现散热部件的小型化。
图9 导通电阻的趋势[20](3)SiC 带隙较宽,是Si 的3 倍。禁带宽度大的SiC 在高温下漏电流并无显著增加。考虑到SiC 器件本身损耗低,发热小,热导率也大幅高于Si材料,因此SiC功率器件即使在高温下也可以稳定工作。
(4)SiC-MOSFET 能够在IGBT 不能工作的高频条件下驱动,从而也可以实现无源器件的小型化[18-19]。
SiC MOSFET 用于车载800 V 主驱逆变器时,与使用IGBT 相比,效率可以显著提升,主要体现在逆变器的高扭矩和低转速范围,从而可使整车电耗减少6%[20]。
4.5 Boost调压升压器技术
升压调压器是混动电驱系统的关键技术,未来混动和纯电动产品技术开发平台模块化,混动升压器调压上限极有可能达到800 V。升压器布置在逆变器和动力电池之间,如图10所示。该升压器可将动力电池电压升高,实现电机系统工作电压在一定范围内的动态调节,同时也可将逆变器端电压降低后给动力电池充电。
图10 双电机升压系统电气原理[21]电机系统增加升压器后的主要优势如下。
(2)电机系统效率可进行电压寻优,提升系统工况循环效率:电机系统工作电压可以在较宽的范围内进行动态调节,实现工况点和高效区的最优匹配[21];
(3)降低电池额定电压条件下电机输出功率需求,有利于电机的小型化设计。
需要注意的是,配置升压器的电驱系统,电机本体的设计应以升压器最高输出电压作为系统最高工作电压进行设计。同时,升压器本身会带来新的损耗,系统匹配和电压寻优策略的优化设计对升压器在系统中作用效果有直接影响。
4.6 高频电磁干扰抑制
在Si基逆变器驱动的变频交流电机应用中,由于逆变器PWM 输出电压方波脉冲的上升时间非常短(0.2~0.4 μs),对应的等效上限频率为f=1/(π·trise),其对应的频谱可以达到0.8~1.6 MHz。相比传统工频交流电机驱动高频电磁干扰(Electro Magnetic Interference,EMI)问题已经显现。
虽然800 V 系统中SiC MOSFET 的使用能够显著地提高系统效率和功率密度,但由于宽禁带半导体器件具有更快的开关速度并工作在更高的开关频率下,意味着系统中的dv/dt和di/dt更高,进一步加剧了高频电磁干扰。SiC 基逆变器实际运行过程中产生的EMI比传统的Si基逆变器更为严重。
通过分析电机驱动系统的共模EMI 和SiC MOSFET 开关行为之间的关系发现:开关频率是影响系统共模EMI 的主要因素,开关频率越高,高频干扰越强;开关时间对低频段的频谱没有影响,在高频段开关时间越短,系统EMI 的频谱幅值也越大;供电母线电压越高,系统EMI 频谱高频谐波的幅值越大,谐波成分越丰富。
国内外学者主要从干扰源、干扰传播路径和受扰设备3方面考虑来抑制电磁干扰(图11)[22-23]。
图11 EMI抑制策略[22-23]改变SiC MOSFET 的开关特性对于系统高频EMI的影响显著。通过优化门极驱动电阻的阻值,调节开关速度,可以在保证系统效率的前提下,降低高频EMI 强度;通过适当地调节开关频率,可以在保证系统高功率密度的基础上,全面减小系统运行过程中产生的EMI;通过在电路中加入电阻-电容电路吸收回路,能够有效抑制高频开关振荡,缓解系统高频EMI强度[24]。
合理设计增加EMI 滤波器配置,也可显著降低系统EMI 强度。在EMI 滤波器的设计过程中,应充分考虑:滤波器插入损耗、磁性元件特性以及共模扼流圈寄生参数等诸多因素。例如,文献[25]设计了一款面向SiC逆变器应用的EMI滤波器,如图12所示。
图12 EMI滤波器拓扑及参数[25]电机控制PWM 策略对EMI 强度也有影响。研究结果表明,通过随机PWM 控制策略,能够降低EMI 强度,但会增大系统损耗及电流纹波[24]。
4.7 驱动充电一体化集成及其控制
比亚迪提出了基于复用功率器件的三相四线制电机升压充电系统架构实现升压充电的方法。在功率电路拓扑结构设计上,将电驱动系统和直流升压充电系统深度融合,复用逆变器三相桥臂和电机三相绕组组成典型的Boost 升压电路,通过三相桥臂斩波控制泵升充电桩电压后给动力电池充电。通过电机中性点引出线配合继电器-电感-电容电路实现驱动和充电工况分时复用,见图13。
图13 比亚迪大功率电机升压充电拓扑电路[26-28]采用驱动充电一体化的高压拓扑架构,避免了配备独立的升压直流变换器带来的成本短板,却也同步带来了电机损耗增加和充电过程扭矩输出安全的问题。需综合运用功率模块三相桥臂同相和错相协同控制技术,解耦控制三相电流和电机中性线电流。在充电启动时运行于错相位控制模式,抑制电机中性线纹波电流幅值,降低电磁干扰;在充电过程中运行于同相位控制模式,抑制电机三相纹波电流频率和幅值,降低电机定转子的铁心损耗。同时,通过基于三相电流精确检测的实时扭矩估算方法,确保电驱动系统升压充电过程中零扭矩输出功能安全。
华为也采用电机绕组和功率器件复用思路提出驱动充电一体化集成技术方案[29]。
4.8 电荷泵式独立升压器
保时捷Taycan 独立配置了电荷泵升压器,也称为开关电容式电压变换器,是一种利用所谓的“泵送”电容,而非电感来储能的直流变换器。基本原理是通过电容对电荷的积累效应产生高压,使电流由低电势流向高电势。即给电容充电后,将电容从充电电路断开以隔离充进的电荷,然后连接到另一个电路上,传递刚才隔离的电荷。电荷泵升压功能以往在很多低压微控制单元(Microcontroller Unit,MCU)芯片上有应用。
电荷泵采用电容为开关和储能元件,与采用电感作为储能元件的电感式升压器相比,电荷泵的主要优点如下:高效率,体积小,低静态电流,输出电压调节范围宽,低电磁干扰,硬件电路简单。同时,电容的集成比电感的集成更为容易和廉价。
如图14为2倍升压比电荷泵升压器。Uo=2Ui。在800 V 系统实际充电中,假设需求的充电电压为900 V,则只需对充电桩发送请求实际需求电压的1/2(即Ui=450 V),然后通过电荷泵将充电桩电压升高即可得到Uo=900 V 的充电电压。因此实现兼容市面上的普通快充桩。
图14 2倍升压比电荷泵升压器[30]5 结束语
(1)电驱动系统采用800 V高压平台,显著提升了中高速区域的综合输出性能,并能够满足用户对于超级快速充电的需求,但也大幅提高了产品材料成本,预期800 V电驱动系统将主要搭载中高端车型。
(2)越来越多的品牌都在规划800 V 高压平台电驱动产品,近2年陆续量产,国家也在着手布局超级充电桩,最高输出电压可达1 500 V。伴随着未来高压充电基础设施的完善,整车端将不再需要配置升压充电器。
(3)800 V 高压平台技术架构日渐成熟,近2 年电动汽车有关电压等级、传导充电装置等相关技术标准亟待同步升级。











